Later Strategies for Solving Equal Sharing Problems

Fractional quantities are more complex to understand than whole numbers. For example: If a fourth grader was given the problem, “4 people are going to share 52 little candies so that everyone gets the same amount and there are no leftovers. How many candies will each person get?” they could solve the problem with only an understanding of 52 as a collection of 52 ones. It’s not necessary for them to understand that 52 is the same as 5 tens and 2 ones or the same as 4 tens and 12 ones to solve this problem.

In contrast, understanding 3 as 3 ones and 4 as 4 ones isn’t sufficient to understand the quantity ¾. Consider the problem, “4 people are going to share 7 brownies so that everyone gets the same amount and there are no leftovers. How much brownie should each person get?” When a student only understands quantities as a collection of ones, their answers may be something like “Everyone gets 1 brownie and the rest go to the teacher,” or “Some people will get 2 brownies and some will get 1.” 

To understand the quantity ¾, a student needs to understand that 1 fourth is the result of dividing 1 by 4 and that ¾ is 3 groups of ¼. This requires an understanding of division where the quotient is less than 1 (1 divided by 4) and also multiplication (3 groups of ¼) or repeated addition (¼ + ¼ + ¼). Some students understand these concepts at a level that allows them to produce a pictorial answer to the “4 share 7” problem. Other students hold a more sophisticated understanding of these concepts.

  In previous blogs, I described using Equal Sharing Problems to help students develop an understanding of fractional quantities and the Early Strategies that are used to solve them. I suggest reading these posts first if you haven’t already read them.

The Early Strategies listed below describe how students start dividing wholes when solving Equal Sharing Problems and how students progress in their ability to arrive at equal partitions for all sharers while also exhausting the quantity to be shared. These early strategies also describe how students progress in naming fractional quantities and using symbols to represent fractions.

Once students arrive at strategies #3 and #4 in the above list, it makes sense to transition to the Later Progression of Strategies for Solving Equal Sharing Problems to analyze their strategies. These strategies listed below describe the extent to which the student coordinates the number of sharers and the amount to be shared when solving Equal Sharing problems. Such coordination is the foundation for understanding the fraction m/b (b not equal to zero) as m groups of 1/b where 1/b is the result of 1 divided by b.

Trial and Error is the first of these later strategies. Students using Trial and Error don’t plan for the number of sharers or the amount to be shared before they start solving the problem. Instead, they work out the solution as they go along.

A common trial and error strategy is Repeated Halving. Here is what Ella wrote on her paper to show how she solved the problem,

There are 4 students sharing 7 brownies. If the students share the brownies equally, how much brownie would each person get?

Ella said, “I drew the 7 brownies and then I wrote K1 for kid 1, K2 for kid 2, K3 for kid 3 and K4 for kid 4. There was enough for each kid to get 1 whole brownie, so I passed them out. There were only 3 left so they couldn’t get another whole brownie, so I cut those leftover brownies in half. I passed out the halves and each person got 1 half. Then there were only two halves left, so I cut those in half again. Then I had 4 fourths, and everyone got 1 fourth more. Everyone got 1, 1 half and 1 fourth. My first answer was 1, 1 half and 1 fourth and then I remembered that I cut a half in half to make the fourth so 1 half is the same as 2 fourths so they each get 1 and 3 fourths.”

Repeated Halving can be a fairly efficient strategy, but it doesn’t work for all Equal Sharing Problems. Before reading on, solve the problem below using Repeated Halving:

5 people want to share 3 little cakes so that everyone will get the same amount. How much cake should each person get?

Another Trial and Error Strategy is one where the student tries partitioning the wholes into different amounts until they find a partition that works. For the 5 share 3 problem above, a student could try cutting all of the little cakes in half. They would end up with 6 halves, which can’t be shared equally by 5 people without making further partitions. They might next try partitioning the cakes into fourths or thirds, neither of which will work without further partitions. Students with enough stamina (or luck) might try fifths and find that it works.

When interacting with students who are using Trial and Error strategies, teachers should look for opportunities to discuss the concept that 1 item partitioned into b portions results in 1/b  for each sharer. We recommend that you use concrete examples such as, “You had a 1 and then you cut it into 8 pieces and found that each piece was 1/8.”  Teachers can develop this concept by asking questions (“what if you cut that whole into 6 pieces, how much would of a whole would each piece be?”), choosing specific numbers for problems, or by supporting students to engage with other students’ strategies that use this concept.  Students need to understand the idea that 1 divided by b = 1/b (b not equal to 0) in order to use the next strategies.

After experience with Trial and Error strategies, students start considering the number of sharers when devising a strategy to solve the problem. A strategy that includes some anticipatory thinking is the Additive Coordination Strategy as is illustrated by Adam’s strategy below for the problem:

There are 4 students sharing 7 brownies. If they share the brownies equally, how much will each student get?

When Adam described how he solved this problem, he said, “I knew everyone would get a whole brownie and then there would be 3 brownies left. I drew those 3 brownies and then I cut each brownie into fourths because there are 4 people sharing, so I knew fourths would work. See, everyone gets ¼ of each of those left over brownies, ¼ plus ¼ plus ¼ is ¾. Each person got 1 and ¾.”

With Additive Coordination Strategies, students consider the number of sharers before they start partitioning whole items and use an understanding that 1 item shared by b sharers results in 1/b for each sharer: if 4 people share 1 item they each get 1/4 of the item. They will use addition to figure out how much each sharer will receive: ¼ + ¼ + ¼ = ¾.

Additive Coordination strategies can be less efficient than Repeated Halving but these strategies have at least two advantages over Repeated Halving Strategies. Additive Coordination works for all Equal Sharing Problems and it provides a foundation for understanding the fraction m/b as m groups of 1/b or as m divided by b (b not equal to zero).

I encourage you to pause and solve this problem using Additive Coordination:

5 people want to share 3 little cakes so that everyone will get the same amount. How much cake should each person get?

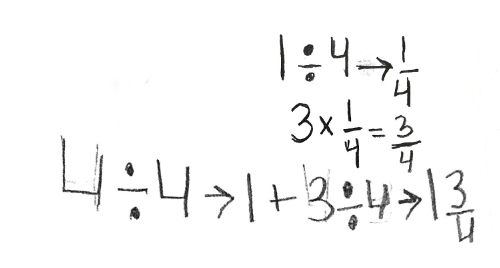
After experience using the Additive Coordination strategies, students start using Multiplicative Coordination strategies. Manuel explained his strategy for solving the problem:

There are 4 students sharing 7 brownies. If they share the brownies equally, how much will each student get? 

As “Everyone gets 1 brownie and then there are 3 left. I knew that everyone would get ¾ more because if there was 1 brownie left they would get ¼ but there’s 3 brownies, not 1, so they would get three times as much as ¼ and 3 times ¼ is ¾.”

With Multiplicative Coordination, students again use their understanding that 1 item shared by b sharers results in 1/b for each sharer. They do not represent each item to be shared but rather that 1 shared by b is 1/b and multiply 1/b by m to figure out that m shared by b is m/b. (Again b is not equal to zero.)

An equation that represents the relationships this student used is:

As you can see, an understanding that 1 divided by b equals 1/b (b not equal to 0) is essential for this strategy.

As was the case for Additive Coordination, Multiplicative Coordination works for all Equal Sharing Problems. I encourage you to pause and solve this problem using Multiplicative Coordination:

5 people want to share 3 little cakes so that everyone will get the same amount. How much cake should each person get?

When interacting with students as they solve Equal Sharing problems, it is important to remember our goal of preparing students to later solve more complex fraction problems and equations. We eventually want all students to understand that m divided by b equals m/b (use equation) for all b ≠ 0.  This applies to all problems involving fractions or rational expressions.  The strategy progression described in this document will help assess what a student understands about this concept.

Extending Children’s Mathematics: Fractions and Decimals by Susan Empson and Linda Levi contains much of this information and more about Equal Sharing Problems.

Previous
Previous

Extended Equal Sharing Problems

Next
Next

Early Strategies for Equal Sharing Problems